支持Chromeleon™ 7的开云手机登录入口·(中国)官方网站LC驱动程序
Ultra High Performance Liquid Chromatograph
在液相色谱系统中,至关重要的一点是使用合适的色谱柱以获得高效和准确的色谱数据。充分考虑到Nexera系列液相色谱仪的不同性能和特点,Shim-pack 系列色谱柱同样具有多种不同的规格选择,以充分发挥Nexera液相色谱仪的特长。即使面对基质极为复杂的样品,Shim-pack系列色谱柱也能表现出优异的稳定性和耐用性。
表面多孔颗粒(SPP)技术提供了优异的分离效果和快捷的分析速度。该系列色谱柱可为各行业、各领域分析应用提供更佳的选择。

尽管Shim-pack™XR-ODS II系列色谱柱粒径为2.2μm,但其可在60 MPa的压力下使用,可适用于广泛的分析需要。XR-ODS III色谱柱的粒径减小到1.6μm,最大使用压力为100MPa,即使色谱柱较短,但仍可获得高分离度。
此款色谱柱在充分利用UHPLC高分离能力的同时,更有助于缩短分析时间。

Shim-pack GIS/GIST/GISS系列色谱柱涵盖适用于常规HPLC分析的5μm填料,以及适用于UHPLC分析的2μm填料。同时,拥有多种不同的载体,非常适合方法开发过程使用。
| GIS 系列: | 以高纯硅胶材料为载体的HPLC柱。颗粒均匀性高,确保流动相通过,该系列色谱柱是低压分析的理想选择。 | |
| GIST 系列: | 提升硅胶的惰性,进而可改善峰形状和稳定性。可在pH值1–10范围内使用,适用于各种化学品和环境样品分析。 | |
| GISS 系列: | 除了具备GIST系列的优点外,还可以实现更快的洗脱速度,以保证更尖锐的峰型。 |

提取更低强度的肩峰
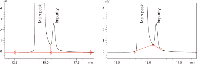
即使在高噪声的复杂色谱图中,i-PeakFinder功能也可以自动识别色谱峰,并考虑基线漂移等因素获得更高的积分精度。通过调整i-PeakFinder的参数,例如峰值检测阈值等,则可检出更低强度的色谱峰。
此外,i-PDeA II 功能在之前版本的基础上进一步优化,能够更好地量化没有被色谱柱充分分离的组分/峰。通过简单地设定 LabSolutions中的时间和波长参数来实现色谱峰分离。



通过手动设置共流出峰的基线是非常耗时的,并且不同的习惯/要求可能会得出不同的结果。在不同分析中,通过调整i-PeakFinder参数,可在不同情况下获得结果一致的基线。

i-DReC是一种可以显著地扩展线性范围的新分析方法。其可以在不稀释高浓度化合物的情况下进行分析,并确保正确的校准曲线。
