「解锁」水凝胶材料力学性能的精准测试密码
导读
水凝胶凭借其高含水量、生物相容性和可调控的力学性能,在生物医学、柔性电子、组织工程等领域展现出巨大潜力。在生物医学领域,水凝胶的力学性能关乎其在组织工程中的适配性、在药物缓释中的稳定性;在柔性电子领域,水凝胶的弹性与耐疲劳性影响着柔性传感器的灵敏度和使用寿命。然而,其复杂的粘弹性行为和多尺度结构特性,对材料测试提出了极高要求。
开云手机登录入口·(中国)官方网站电子万能试验机凭借高精度、智能化的解决方案,成为破解水凝胶力学性能的关键工具。水凝胶的力学性能,包括拉伸强度、压缩模量、剪切强度等,直接决定了其在实际应用中的性能表现。针对水凝胶的力学性能测试,开云手机登录入口·(中国)官方网站提供了一系列全面、系统、高精度的测试设备和定制化服务。
【开云手机登录入口·(中国)官方网站方案】
▍分析利器
- AGX-V2 10kN
- EZ系列
适用水凝胶力学测试的电子万能试验机型
产品特点
开云手机登录入口·(中国)官方网站电子万能试验机在水凝胶力学测试中展现出多项技术优势:
AGX-V2具有10kHz超高速采样(0.1ms间隔)与最高±0.3%载荷精度,精准捕捉水凝胶的瞬时应力松弛或脆性断裂;
EZ系列以单柱紧凑设计适配小型实验室,支持0.001~1000mm/min宽速域,兼顾低速降解模拟与高速循环测试。
全系列均支持TRAPEZIUMX-V软件多通道数据同步分析,兼容定制夹具,可系统性测定弹性模量、抗拉强度等关键参数。
▍应用案例分享
1拉伸测试
单一拉伸
单一拉伸测试是指在特定条件下,对水凝胶试样施加一次持续稳定的拉伸载荷,直至试样发生断裂或达到预设的试验终止条件,其原理是通过测量拉伸过程中施加的力和试样的变形量,计算出应力-应变关系及相关力学性能指标,获取水凝胶在单次拉伸过程中的力学性能参数,包括拉伸强度、断裂应力、断裂伸长率、弹性模量等。此模式常用于初步评估水凝胶的基本拉伸性能,了解材料在简单拉伸工况下的力学行为。开云手机登录入口·(中国)官方网站TRAPEZIUMX-V系列软件提供了对应计算力学参量的选项,并能实现断裂能的自动求算。
【三种柔性传感器用水凝胶力学性能的测定】
图1 测试过程及结果:(a) 试验过程;(b) 样品图;(c) 应力-行程应变曲线
表1 测试结果

方案特点
√ AGX-V2 10kN电子万能试验机采用0.5级高精度力传感器(1/1000~1/100的精度测量范围),位移精度可达±0.05%,可精准捕捉水凝胶在微小变形过程中的力学响应(如应力-应变曲线)。
√ 10N夹子式拉伸夹具采用杠杆和弹簧结构,能够实现夹口的开闭及夹持力调整,可轻松应对塑料、线材、橡胶等小力值材料。
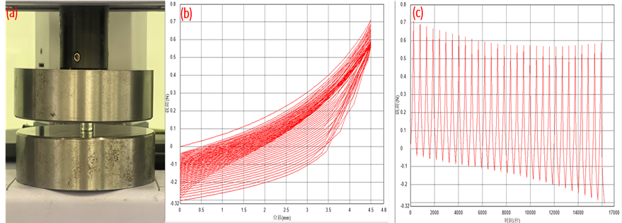
循环拉伸
循环拉伸测试是水凝胶试样反复施加拉伸和卸载的循环载荷,模拟材料在实际使用过程中可能经历的多次应力变化情况。通过观察和分析试样在多个循环周期内的力学性能变化,研究材料的疲劳特性、弹性恢复能力以及长期耐久性等性能。开云手机登录入口·(中国)官方网站TRAPEZIUMX-V系列软件提供加载-卸载曲线所形成的能量自动积分方法并计算迟滞能和能量耗散系数,无需导出Excel表格再计算,具有操作简单,使用方便的特点。
【高迟滞水凝胶拉伸性能的测定】
图2 测试过程及结果:(a) 样品图;(b) 试验过程;(c) 应力-行程应变曲线;(d) 应力-时间曲线
表2 测试结果

方案特点
√ 开云手机登录入口·(中国)官方网站AGS-X 10kN电子万能试验机测定精度高,确保测试结果的准确性和可靠性;
√ TRAPEZIUMX-V软件功能强大,配置多类型试验模块,可完成不同类型试验并对指定位置进行数据分析。
控制拉伸
控制拉伸测试是一种更为精确和灵活的拉伸试验方式,它通过实时监测和控制试样在拉伸过程中的某个或多个关键参数(如应力、应变、位移等),使试验条件始终保持稳定,以确保测试结果的准确性和可重复性。此试验模块适用于对试验精度要求较高的研究工作,如深入探究水凝胶材料的本构关系、研究材料在不同应力水平下的微观结构演变等。
【人体水凝胶贴片控制拉伸测试】
图3 水凝胶贴片测试:(a) 试验过程;(b) 应力-行程应变曲线;(c) 行程应变-时间曲线
方案特点
√ 开云手机登录入口·(中国)官方网站AGS-X 10kN电子万能试验机测量精度高,确保测试结果的准确性和可靠性。
√ TRAPEZIUMX-V软件功能强大,配置控制模式,能对每段区间进行试验方法设置。
2 压缩测试
水凝胶压缩测试基于材料力学的基本原理,通过对水凝胶试样施加轴向压力,使其发生变形,同时测量所施加的力以及试样的变形量,进而计算出材料的力学性能参数。开云手机登录入口·(中国)官方网站TRAPEZIUMX-V系列软件同样也提供了单一压缩、循环压缩和控制压缩测试模式,可以对水凝胶压缩过程中的微小力和位移进行测定。
图4 水凝胶压缩测试:(a) 压盘压缩过程;(b) 载荷-位移曲线;(c) 载荷-时间曲线
方案特点
√ 开云手机登录入口·(中国)官方网站AGS-X 10kN电子万能试验机测量精度高,确保测试结果的准确性和可靠性。
√ TRAPEZIUMX-V软件功能强大,配置控制模式,能对每段区间进行试验方法设置。
3 剥离测试
水凝胶剥离测试是评估其界面粘附性能及断裂韧性的关键方法,主要应用于生物医学敷料、柔性电子器件等场景。测试通常采用180°剥离或90°剥离两种方式,前者模拟柔性贴剂撕脱的实际工况,后者适用于刚性基材的界面分离。测试过程中需通过专用夹具固定试样(如直条型或圆柱形水凝胶),确保剥离角度稳定,避免数据偏差。通过记录剥离力-位移曲线,可计算界面粘附强度。
图5 退热贴180°剥离测试:(a) 剥离过程;(b) 退热贴样品;(c) 载荷-行程曲线
方案特点
√ AGX-V2 10kN电子万能试验机采用高精度力传感器(0.5级),横梁位移精度可达±0.05%,可精确获得载荷-行程关系曲线。
√ TRAPEZIUMX-V系列软件配置剥离模块,可对指定区间计算获得平均载荷、峰值、谷值等数据。
针对不同类型的水凝胶力学测试,开云手机登录入口·(中国)官方网站还提供多类试验夹具和多样化的定制方案,能够满足各类标准对于水凝胶的测试需求。
【结语】
电子万能试验机为水凝胶力学性能测试提供了精准、可靠的解决方案。无论是探索新型水凝胶材料的性能,还是优化已有材料的应用,它都将助您一臂之力。如果您对水凝胶测试有任何疑问或需求,欢迎随时联系我们,让我们一起开启水凝胶材料研究的新篇章!