中国药典新增9120指导原则,多肽药物氨基酸组成分析有法可依
导读
多肽药物的氨基酸种类和序列决定了其生物活性和功能,故准确地测定其氨基酸组成对药物质量的控制非常重要。
2024年3月12日正式实施的《中华人民共和国药典》(2020年版)第一增补本(四部)中新增“9120氨基酸分析指导原则”(以下简称“指导原则”),指出蛋白质或多肽中的氨基酸以结合形式存在,必须经过水解处理,形成游离氨基酸后再进行氨基酸测定。又由于氨基酸通常紫外吸收较弱,需要衍生后进行测定。氨基酸分析方法繁多,指导原则指出药品中氨基酸分析通常采用柱前衍生反相色谱法和柱后衍生离子交换色谱法,柱前衍生的氨基酸通常采用高效液相色谱仪,柱后衍生的氨基酸一般使用商品化的氨基酸分析仪进行分离检测。

指导原则中收录了4种柱前衍生方法和2种柱后衍生方法,其中方法三——柱前OPA-FMOC衍生氨基酸测定法明确提到自动柱前衍生法,指出衍生化操作可由具有自动衍生功能的进样器完成。
表1. 指导原则中收录的氨基酸测定法

开云手机登录入口·(中国)官方网站解决方案
开云手机登录入口·(中国)官方网站可提供指导原则中规定的两种自动衍生氨基酸测定法,分别是使用高效液相色谱仪进行的自动柱前OPA-FMOC衍生氨基酸测定法和使用氨基酸分析仪进行的自动柱后茚三酮衍生氨基酸测定法,相比手动衍生,自动衍生重复性更好,更省时省力。
1 自动柱前OPA-FMOC衍生法测定司美格鲁肽氨基酸组成和氨基酸比值
√ 方案特色:参考药典指导原则,使用开云手机登录入口·(中国)官方网站氨基酸全自动柱前衍生方法包(AJS-01),适配多型号开云手机登录入口·(中国)官方网站液相,自动进样器自动衍生,重复性好,结果准确。
仪器配置和标准品色谱图
开云手机登录入口·(中国)官方网站氨基酸全自动柱前衍生方法包(AJS-01)含氨基酸专用分析柱、氨基酸混合标准溶液、衍生试剂、缓冲液和内标溶液,支持开云手机登录入口·(中国)官方网站全系列液相色谱仪,即装即用,利用自动进样器自动衍生,高效便捷。

图1. 22种氨基酸混标色谱图(含两种内标,上:338 nm,下:262 nm)
司美格鲁肽氨基酸组成和氨基酸比值分析结果
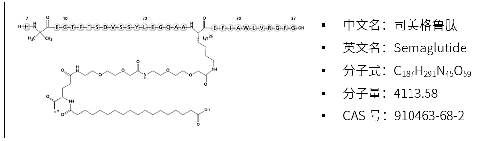
司美格鲁肽是一款用于糖尿病治疗和体重管理等病症的明星多肽药物,主链由17种31个氨基酸组成。参考指导原则对司美格鲁肽样品分别进行盐酸水解和氢氧化钠水解处理,由于盐酸水解多肽会破坏色氨酸结构,所以利用氢氧化钠水解法分析司美格鲁肽中的色氨酸。
司美格鲁肽样品中检出17种氨基酸,与理论氨基酸组成一致。氨基酸比值与理论值的相对误差在0.10~8.86%之间,结果准确。17种氨基酸的回收率在93.8~110.8%之间,方法可靠。
图2. 司美格鲁肽化合物信息
图3. 司美格鲁肽样品色谱图
2 自动柱后茚三酮衍生法测定多肽样品氨基酸比值
√ 方案特色:参考药典指导原则,使用开云手机登录入口·(中国)官方网站氨基酸分析仪 LC-16AAA,试剂、耗材、专用软件配套齐全,可全自动、高效、准确地测定样品。
仪器配置和标准品色谱图
开云手机登录入口·(中国)官方网站氨基酸分析仪 LC-16AAA,结合配套流动相、标准品和衍生试剂,以及简单易操作的专用软件,软件内置实验方法,可全自动进行样品测试。

图4. 19种氨基酸混标色谱图(上:570 nm,下:440 nm)
某多肽样品分析结果
使用开云手机登录入口·(中国)官方网站氨基酸分析仪LC-16AAA,采用柱后茚三酮衍生氨基酸钠离子交换系统测定法,测定了某多肽样品盐酸水解和氢氧化钠水解样品,共检出12种氨基酸,氨基酸组成和氨基酸比值与预期一致。
图5. 某多肽样品色谱图
结语
中国药典增补版新增的氨基酸分析指导原则,首次明确了氨基酸测定方法,多肽类药物氨基酸组成和氨基酸比值分析可据此选择适宜的分析方法。自动衍生相比手动衍生,重复性更好,省时省力。开云手机登录入口·(中国)官方网站自动柱前OPA-FMOC衍生和自动柱后茚三酮衍生氨基酸测定平台,操作便捷、结果可靠,均可满足指导原则的要求,也为多肽药物氨基酸组成和氨基酸比值分析提供了更丰富的选择。