前沿合作 | 2D LCMS-QTOF在线脱盐鉴定阿米卡星注射液中的未知杂质
开云手机登录入口·(中国)官方网站中国创新中心与北京知名CRO公司合作,采用开云手机登录入口·(中国)官方网站二维液相色谱串联四极杆飞行时间质谱(2D LCMS-QTOF)对阿米卡星注射液的未知杂质进行结构鉴定。阿米卡星极性较大,个别杂质保留较弱,给色谱分离和二维脱盐带来挑战。本研究二维采用高保留色谱柱成功实现在线脱盐,获取杂质高分辨质谱精确质量数预测杂质分子式,并结合二级特征碎片推测杂质可能的结构。本研究成果有助于相关企业改进生产工艺、提升产品质量标准。

背景介绍
阿米卡星(amikacin)是一种半合成的氨基糖苷类抗生素,以卡那霉素为起始物料通过一系列反应合成。阿米卡星的分子式为C22H43N5O13,具有抑制细菌细胞壁合成的作用,适用于革兰阴性杆菌和对青霉素耐药的金黄色葡萄球菌引起的感染。与庆大霉素类似,阿米卡星的临床副反应主要是听觉神经损坏和肾毒性。阿米卡星无口服制剂,只有注射剂和滴眼液,目前仿制药注射剂一致性评价是新药研发的重要环节。《中国药典》2020年版收载阿米卡星,采用反相C18色谱柱,辛烷磺酸钠-硫酸钠-磷酸盐缓冲溶液-乙腈为流动相对5种已知有关物质进行控制。本文参考 2020版《中国药典》建立阿米卡星注射液有关物质检查方法。在阿米卡星临用新制样品中发现3种未知杂质,使用开云手机登录入口·(中国)官方网站二维液相色谱-飞行时间质谱系统进行杂质结构解析。
图1 阿米卡星注射液样品色谱图
开云手机登录入口·(中国)官方网站解决方案
分析仪器
开云手机登录入口·(中国)官方网站液相系统Nexera LC-40 +高分辨质谱仪LCMS-9030
二维分析条件
色谱柱:ShimNex HE C18-AQ(3.0 mm I.D. ×100 mm L., 3 μm)
流动相:流动相A为0.1%甲酸水,流动相B为乙腈,梯度洗脱
上样体积:50 μL
质谱离子源:ESI(+);质谱扫描范围:m/z 80 ~ 1200
采用二维柱切换技术在线脱除组分中的无机盐,通过二维色谱柱分离未知杂质与辛烷磺酸钠,摸索未知杂质在二维的出峰时间并设置相应的质谱检测窗口。基于LCMS-9030飞行时间质谱的高分辨,高质量准确度和二级特征谱图定性的功能,获取杂质的质谱信息。通过比较阿米卡星与未知杂质的母离子和特征碎片离子的相关性对未知杂质进行科学合理的定性分析。
图2 RT 10.11杂质的ESI正模式一级质谱图(上)和二级质谱图(下)
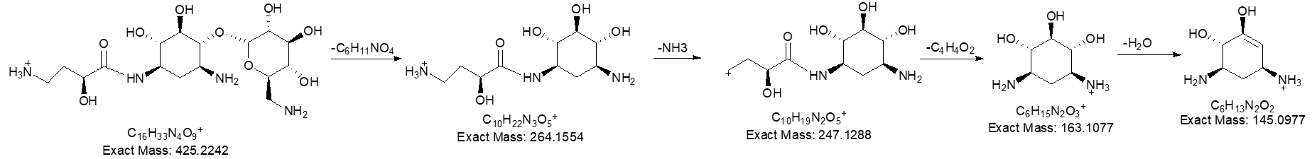
以保留时间(RT)10.11杂质为例,介绍阿米卡星杂质结构的鉴定过程。使用开云手机登录入口·(中国)官方网站分子式预测软件Formula Predictor Server对RT 10.11未知杂质进行分子式预测,可能的分子式为C16H32N4O9,理论精确分子量为424.2169。未知杂质一级质谱图中m/z 425.2242为[M+H]+,分子量相对误差为0 ppm,表明开云手机登录入口·(中国)官方网站高分辨质谱高质量准确度的性能。二级质谱图中可见m/z 163特征碎片离子,表明杂质具有氨糖结构。RT 10.11杂质的分子式比阿米卡星少C6H11NO4,恰好为1分子氨糖。推测其为阿米卡星氨糖水解产物,中国药典未收录该杂质。RT 10.11可能的二级裂解规律见图3,四种二级碎片均可进行合理的结构预测。
图3 RT 10.11杂质可能的结构和裂解规律
结论
阿米卡星是临床常用的氨基糖苷类抗生素,开云手机登录入口·(中国)官方网站中国创新中心与客户合作使用二维液相高分辨飞行时间质谱2D LCMS-QTOF成功对阿米卡星注射液中未知杂质进行结构鉴定。本文所建立的色谱方法具有快速、高分离度的优点,为阿米卡星注射液有关物质分离及产品质量控制提供了一定的参考。