前沿合作 | 2D-LCMS-QTOF法对注射用头孢美唑钠的未知杂质进行结构解析
开云手机登录入口·(中国)官方网站中国创新中心与北京阳光诺和药物研究股份有限公司和中国食品药品检验研究院合作,采用开云手机登录入口·(中国)官方网站二维高效液相色谱串联四极杆飞行时间质谱法(2D-LC-QTOF),对头孢美唑钠热降解的未知杂质进行了定性鉴定。
背景介绍
β-内酰胺类抗生素,主要包括头孢菌素类、青霉素类和碳青霉烯类。头孢美唑是第二代半合成的头孢类抗生素。2020版《中国药典》,美国药典(USP43)和日本药典(JP17)都收录了注射用头孢美唑钠。在注射用头孢美唑钠的质量研究中,发现其对热比较敏感,头孢美唑内酯(cefmetazole lactone)和1-甲基-5-巯基四氮唑(1-methyl-5-mercaptotetrazolium)在高温条件下均有明显增加,主峰后出现3个明显的未知杂质。
某仿制药和参比制剂样品中实际检出的未知杂质含量超过了ICH Q3B规定的鉴定阈值(头孢美唑日用最大剂量为4g,对应的杂质鉴定阈值为0.10%;部分样品中如图1所示杂质3的量超过0.10%),故尝试对注射用头孢美唑钠检出的未知杂质进行结构分析。图1给出了注射用头孢美唑钠热解样品的一维(图1A)和3种目标杂质(杂质1-3)的二维(图1B)紫外色谱图。

图1 注射用头孢美唑钠热解样品的一维(1A)和3种目标杂质(杂质1-3)的二维(1B)色谱图
解决方案

开云手机登录入口·(中国)官方网站液相系统Nexera LC-40
+
高分辨质谱仪LCMS-9030
基于二维液相色谱-高分辨质谱系统,采用中心切割技术将在一维中采用含非挥发性盐的流动相中分离得到的目标未知物导入二维色谱,在二维色谱中采用质谱兼容的挥发性流动相,进而采用高分辨质谱对未知物进行定性鉴定。一维色谱采用《中国药典》中注射用头孢美唑钠的有关物质检查方法,流动相中含不挥发的磷酸盐和离子对试剂(四丁基氢氧化铵,TBAH)。二维色谱采用C18色谱柱,利用磷酸盐在色谱柱上不保留,TBAH在高比例水相下不易洗脱等性质,通过阀切换技术和改变流动向比例等方法洗脱导入废液,避免质谱污染。
表1 头孢美唑钠中杂质的分子式、加和离子和误差

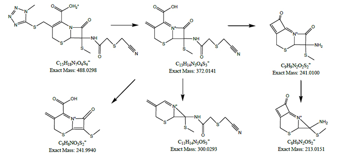
在结构解析中,通过比较头孢美唑钠和未知降解杂质的母离子及特征碎片离子的相关性,结合文献报道的头孢类抗生素及杂质的裂解规律,对头孢美唑钠中的三种未知杂质进行科学合理的定性分析。表1列出了三种未知杂质的分子结构和误差。以杂质2为例,在正模式下的一级质谱图(见图2A):主要离子为m/z 488.0320,m/z 372.0160,m/z 505.0586。m/z 488.0320与m/z 505.0586相差17,可推断m/z 505.0586为m/z 488.0320的[M+NH4]+峰。m/z 488.0320的二级产物离子质谱图(见图2B)。推测杂质2的结构和裂解规律(见图3),杂质2可能为7-甲巯基头孢美唑。同时,7-甲巯基头孢美唑也是一种常见的头孢美唑杂质。

图2 杂质2在正模式下的扫描离子(2A)和m/z 488.0320的产物离子质谱图(2B)

图3 杂质2可能的结构和质谱裂解规律
结论
本研究对头孢美唑中的3种未知杂质进行了科学合理的定性分析,对于头孢美唑的质量控制及安全性评价具有重要意义。本分析方法适用于β-内酰胺类抗生素中未知杂质的分离和定性,具有很强的通用性,同时可对化学药物、天然产物、多组分生化药等复杂组成体系进行定性鉴别,从而提供可靠的质量控制分析方法。
本工作基于创新中心搭建的专属性中心切割二维反相色质谱联用分析平台(2D-LC-QTOF)和开发的《抗生素杂质数字化标准品数据库》,该数据库收录了β-内酰胺类抗生素的一般杂质和聚合物杂质的色谱和高分辨质谱数据,还登录了抗生素相关杂质的液相色谱-三重四极杆质谱分析方法。该分析平台不仅为企业客户大大降低了企业研发成本,同时也为企业的工艺改进、剂型研发、品质提升等方面提供技术参考。
参考文献:
《采用二维高效色谱-串联四级杆飞行时间质谱法对注射用头孢美唑钠的未知杂质进行结构解析》《中国药学杂志》中图分类号:R917 文献标识码:A 文章编号:1001-2494(2022) 08-0645-06 doi: 10.11669/cpj.2022.08.009