研究前沿丨抑郁症也许和炎症有关?
特邀:华南理工大学生物科学与工程学院周婷课题组
课题组简介:周婷副教授于2012年入职华南理工大学生物科学与工程学院担任讲师,2014年破格晋升为副教授。研究兴趣包括手性药物分析、手性药物立体选择性代谢及手性转化研究、代谢组学、脂质组学、生物样品前处理-色谱质谱联用系统的研发等。目前已在Analytical Chemistry,Journal of Chromatography A等杂志发表近40篇论文。
导读
抑郁症是一种慢性、反复发作、潜在威胁生命的精神疾病,影响了超过3亿人,约相当于世界人口的4.4%。有研究表明,脑中脂质,如脂肪酸、鞘脂、甘油磷脂等的变化/水平与抑郁症有关。而在抑郁症发生发展过程中,脂肪酸介导的炎症过程可降低多巴胺活性,从而影响正常脑功能,并与神经炎症和神经可塑性降低有关;其中ω-3和ω-6脂肪酸与抑郁症的发生发展密切相关。低水平ω-3脂肪酸,如二十二碳六烯酸(DHA)和二十碳五烯酸(EPA),可促进促炎细胞因子高表达,减少多巴胺突触前囊泡表达,与抑郁症发病机制相关。高水平ω-6脂肪酸可转化为花生四烯酸及其衍生物前列腺素类,具有促炎作用。另外,在鞘脂类中,神经酰胺水平增加可诱导细胞凋亡,从而加重抑郁症相关神经退行性病变;磷脂酰胆碱(甘油磷脂类化合物)水平与抑郁症进展呈负相关,高水平的DHA、EPA及其衍生物具有神经保护作用,有利于缓解抑郁样行为。因此,脑组织中脂质的分析,尤其是炎症相关脂质,对抑郁症及其进展的科学研究至关重要。

对于抑郁症和炎症相关脂质的关系,华南理工大学生物科学与工程学院周婷副教授等探究了甘草苷在抑郁症治疗中的抗炎效果,以及抑郁症与炎症相关脂质的关系。相关成果发表在《Journal of Pharmaceutical and Biomedical Analysis》上。

研究成果快览
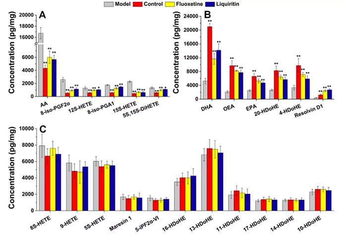
周婷副教授等人利用开云手机登录入口·(中国)官方网站在线超临界流体萃取-超临界流体色谱串联三重四级杆质谱仪进行了抑郁症大鼠脑组织中23种炎症相关脂质的定量分析。模型组中有6种炎症相关脂质均显著高于对照组(p < 0.01)*,包括AA及其衍生物。慢性应激会引起炎症失调,过量促炎细胞因子会使磷酸酶A2上调,从而导致AA水平升高。随后,AA通过脂氧合酶合成促炎脂质。经药物治疗后,相比于模型组,6种促炎脂质水平在氟西汀组和甘草苷组显著下调(p < 0.05),推测促炎脂质水平上调与抑郁症发生有关,而本研究中使用的氟西汀和甘草苷均可抑制促炎脂质水平上调。
*统计学根据显著性检验方法所得到的p值,一般以p < 0.05为显著, p < 0.01为非常显著。

四组脑组织中脂质浓度:与对照组相比,模型组脂质显著升高(A),显著降低(B),无显著变化(C)。*: p < 0.05;**: p < 0.01
与另外三组相比,模型组中DHA、OEA、EPA等6种脂质水平均显著降低(p < 0.01)。有报道称,脑中DHA的减少可引起HPA轴功能改变,类似于抑郁症中系统失调[1]。正常人大脑中5-羟色胺的减少对情绪调节有负面影响,而EPA可增加5-羟色胺的释放,DHA增加突触后神经元中5-羟色胺受体活性,对抑郁症有积极改善作用[2]。OEA具有神经保护作用,可减轻炎症反应,调节情绪[3]。有报道称,抑郁症患者OEA的显著降低伴随着中枢内源性大麻素信号的减少,抑制5-羟色胺释放,加重抑郁症行为[3]。20-HDoHE、4-HDoHE和Resolvin D1 为DHA 衍生物,能够抑制促炎基因表达[4]。经过药物治疗后,这些抗炎脂质水平均显著升高(p < 0.01)。综上,推测甘草苷可能促进抗炎脂质的表达。
脂质作为信号转导第二信使,参与炎症反应,抗炎脂质下调和促炎脂质的上调均可能诱发抑郁症。因此,炎症脂质紊乱与抑郁症的进展密切相关。
表现出色的脂质定量分析平台
在线SFE-SFC-MS/MS(即Nexera UC串联质谱系统)是本文中脂质定量分析的重要手段,23种炎症相关脂质的测定为进一步的探究抑郁症和炎症相关脂质关系提供了基础。

1. 开云手机登录入口·(中国)官方网站Nexera UC串联质谱系统提供了一体化的从萃取到分离检测只需15 min和1 mg脑组织。
2. 在线方法提供了更高的回收率和灵敏度,显著减少分析时间、人工操作和样品量。
3. 在线SFE-SFC系统提供高效环保的脂质分析方法。
4. 在线系统在复杂生物样品脂质分析中具有广阔的应用前景。

两种方法的绿色化学分析评分结果
注:两种方法的AGREE分析得分结果,AGREE是一个绿色化学分析方法的软件[5],对比两种分析方法绿色程度。
专家声音

论文通讯作者周婷副教授表示:炎症相关脂质与抑郁症发生进展密切相关。脂质的易氧化给准确的定量分析带来一些问题。开云手机登录入口·(中国)官方网站的在线SFE-SFC-MS联用技术是将目标分析物的提取、分离和检测集于一体的技术,从而显著减少样品制备时间、样品的损失和潜在的样品污染或降解问题,并且能够显著提高整个分析的灵敏度,为我们准确的炎症相关脂质定量分析提供了有力的技术支撑。
[1] E. Kim, J. Choi, M. Kim, J. Hong, Y. Park, N-3 PUFA have antidepressant likeeffects via improvement of the HPA-Axis and neurotransmission in ratsexposed to combined stress, Mol. Neurobiol. 57 (2020) 3860–3874.[2] M. Gopaldas, F. Zanderigo, S. Zhan, R.T. Ogden, J.M. Miller, H. Rubin-Falcone,T.B. Cooper, M.A. Oquendo, G. Sullivan, J.J. Mann, M.E. Sublette, Brainserotonin transporter binding, plasma arachidonic acid and depressionseverity: a positron emission tomography study of major depression, J. Affect.Disord. 257 (2019) 495–503.[3] P. Romero-Sanchiz, R. Nogueira-Arjona, A. Pastor, P. Araos, A. Serrano, A.Boronat, N. Garcia-Marchena, F. Mayoral, A. Bordallo, F. Alen, J. Suarez, R. de laTorre, F.J. Pavon, F. Rodriguez De Fonseca, Plasma concentrations ofoleoylethanolamide in a primary care sample of depressed patients areincreased in those treated with selective serotonin reuptake inhibitor-type antidepressants, Neuropharmacology 149 (2019) 212–220.[4] C.N. Serhan, N. Chiang, J. Dalli, B.D. Levy, Lipid mediators in the resolution ofinflammation, Cold Spring Harbor Perspect. Biol. 7 (2015), a016311.
[5] F. Pena-Pereira, W. Wojnowski, M. Tobiszewski, AGREE-Analytical GREEnness metric approach and software. Anal. Chem. 92 (2020) 10076-10082.