【食品安全小课堂】兽药残留检测技术难点——如何做好β-内酰胺类抗生素的检测
【导语】
检测的日常总是充满了各种挑战,为了更好地服务食品检测行业相关用户,开云手机登录入口·(中国)官方网站科技资讯通现推出“食品安全小课堂”专栏。内容涵盖——食品检测技术难点、方法验证、实验室管理、法规解读等相关内容,我们会不定期更新,敬请期待!
你是否发现有一些兽药无论你怎么用心做,结果都不尽理想?不是峰型差,就是回收率太低。其实很多情况下,这可能不是你的问题,而是兽药本身的化学结构决定的。
今天我们先分析【β-内酰胺类】抗生素
说到β-内酰胺类抗生素,大家可能没那么快反应过来,但如果我说青霉素类,是不是就秒懂啦。这可是兽残检测界响当当的“黑名单”!β-内酰胺类检测经常出现回收率低、甚至无法出峰的情况,到底是什么原因呢?其实最主要的原因是β-内酰胺类物质的不稳定性导致的。

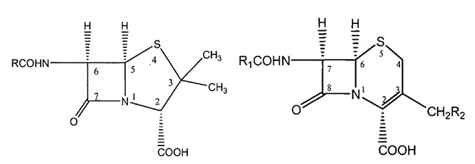
图1 β-内酰胺类抗生素的基本结构(左:青霉素类、右:头孢菌类)[1]
图1是β-内酰胺类抗生素的基本结构。含有自然界中罕见的β-内酰胺基母核,母核结构中两个稠合环不在一个平面上,β-内酰胺环中羰基和N原子上的未共用电子对不能共轭,既容易受到亲电试剂的攻击,又容易被亲核试剂攻击[1]。因此,该类物质不稳定。有研究表明,β-内酰胺类抗生素对温度、pH、水分都较敏感[2],高温、水分、酸/碱条件都会加速该类物质的降解。
面对如此不安分的β-内酰胺类抗生素,我们该怎么办呢?
下面小编给大家支支招。
1、标准品配置和存放
不建议采用纯水、甲醇溶液配置标准品,建议采用50%左右的乙腈/水(V/V)溶液。
配置好的标准储备液(如1000mg/L),放置在棕色瓶中于-18℃保存。建议用小瓶分装,不可反复冻融。
注意一级浓标(1000mg/L)的有效期,推荐有效期为1个月。但具体可以存放多久,需要实验室应进行标准品期间核查后确定。
稀释后的二级标准品储备液及线性用过后不要保存,只使用一次就好。
2、前处理注意事项
麻利——尽可能缩短前处理的时间。
尽量做到避光。
可将耗材提前放置于低温处,必要时也可冰浴,尽量降低前处理过程的温度。
3、上机注意事项
优先该项目上机。
注意设置液相样品盘的温度,可设置为10℃。
以上建议基于小编的检验经验,欢迎大家在评论处讨论和补充哦~
参考文献
[1].刘创基.动物性食品中β-内酰胺类药物及其代谢物检测方法的研究[D].北京化工大学,2010.
[2].姜力群,嵇元欣,刘晶锦等.青霉素类抗生素稳定性的影响因素及有关物质测定方法[J].药学进展,2008,32(2).