西洋参代替人参投料?乌鸡白凤丸、人参养荣丸补充检验应对方案上线
导读

2021年4月和5月,国家药品监督管理局分别发布“乌鸡白凤丸中拟人参皂苷F11检查项补充检验方法(BJY 202102)”和“人参养荣丸(大蜜丸、小蜜丸、水蜜丸)中拟人参皂苷F11检查项补充检验方法(BJY 202104)”。

乌鸡白凤丸和人参养荣丸均为中医妇科常用的良药。方中人参为临床常用的贵细中药材,具有大补元气、强心固脱、补脾益肺、安神生津的功效,而西洋参苦寒清泄、甘寒凉补,入心肺肾经,为寒补之品[1]。

人参和西洋参差异[1]
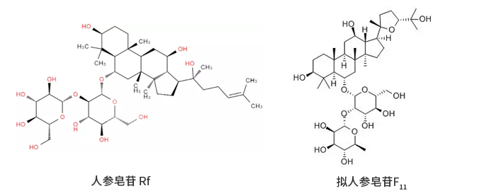
从化学成分来看,人参和西洋参的化学成分基本相似,均以人参皂苷为主要代表性有效成分,且人参皂苷的种类大体相同,但两者所含皂苷种类与含量及比例各有不同,且有些皂苷类成分又是它们所特有的,西洋参的特征性成分拟人参皂苷F11,在人参中未发现,人参的特征性成分人参皂苷 Rf,在西洋参中亦未发现。

经调研,含西洋参的中成药较少,西洋参主要以饮片形式销售,而含人参中成药较多,现在法定标准中多以人参皂苷 Rg1、Rb1、Re 等两者的共有成分进行鉴别或含量测定,西洋参中皂苷的总量相当于人参中皂苷总量的 2 倍多,市场上存在西洋参下脚料、劣质西洋参等冒充人参投料[1]。
[1]:赵振霞,王晓蕾,雷蓉,王敏,刘永利.UPLC-MS/MS检测乌鸡白凤丸中非法添加西洋参[J].中国现代应用药学,2020,37(04):420-424.
补充检验方法文件展示
中拟人参皂苷F11检查项补充检验方法

乌鸡白凤丸中拟人参皂苷F11检查项补充检验方法

☆ 应对方案 ☆
分析仪器

液相色谱串联三重四极杆质谱仪
分析色谱柱

Shim-pack Velox ( 100 mm×2.1 mm I.D., 1.8 µm),P/N: 227-32007-03
- 发挥LC分离最大效率的同时提高分离度→改善分离和检测限
- 分离更快速,提升分离通量→提升实验室效率text text text
- 超长使用寿命→降低总体使用成本
- 优异的批次重现性→确保分析结果的精确性
☆ 应用实例 ☆
乌鸡白凤丸实际样品检测

实际样品检测结果

A厂家乌鸡白凤丸提取液在799.3→653.2通道同时出现与对照品溶液色谱相应的色谱峰,且色谱峰面积值大于检验标准中规定的相应的对照品溶液(0.4 ng/mL)的峰面积值,检出拟人参皂苷F11,不符合标准规定;B厂家乌鸡白凤丸提取液未同时出现与对照品溶液色谱相应的色谱峰,符合标准规定。
人参养荣丸实际样品检测

拟人参皂苷F11对照品溶液色谱图(0.6μg/mL)


供试品溶液色谱图

从结果图中可以看到,供试品溶液色谱图中出现了与人参皂苷F11对照品保留时间相一致的色谱峰,但色谱峰面积小于对照品溶液峰面积,该样品结果为“未检出”,符合标准要求。